🟩 Binary Tree Inorder Traversal (#94)
🔗 Problem Link
📋 Problem Statement
You are given the root of a binary tree, return the inorder traversal of its nodes' values.
💡 Examples
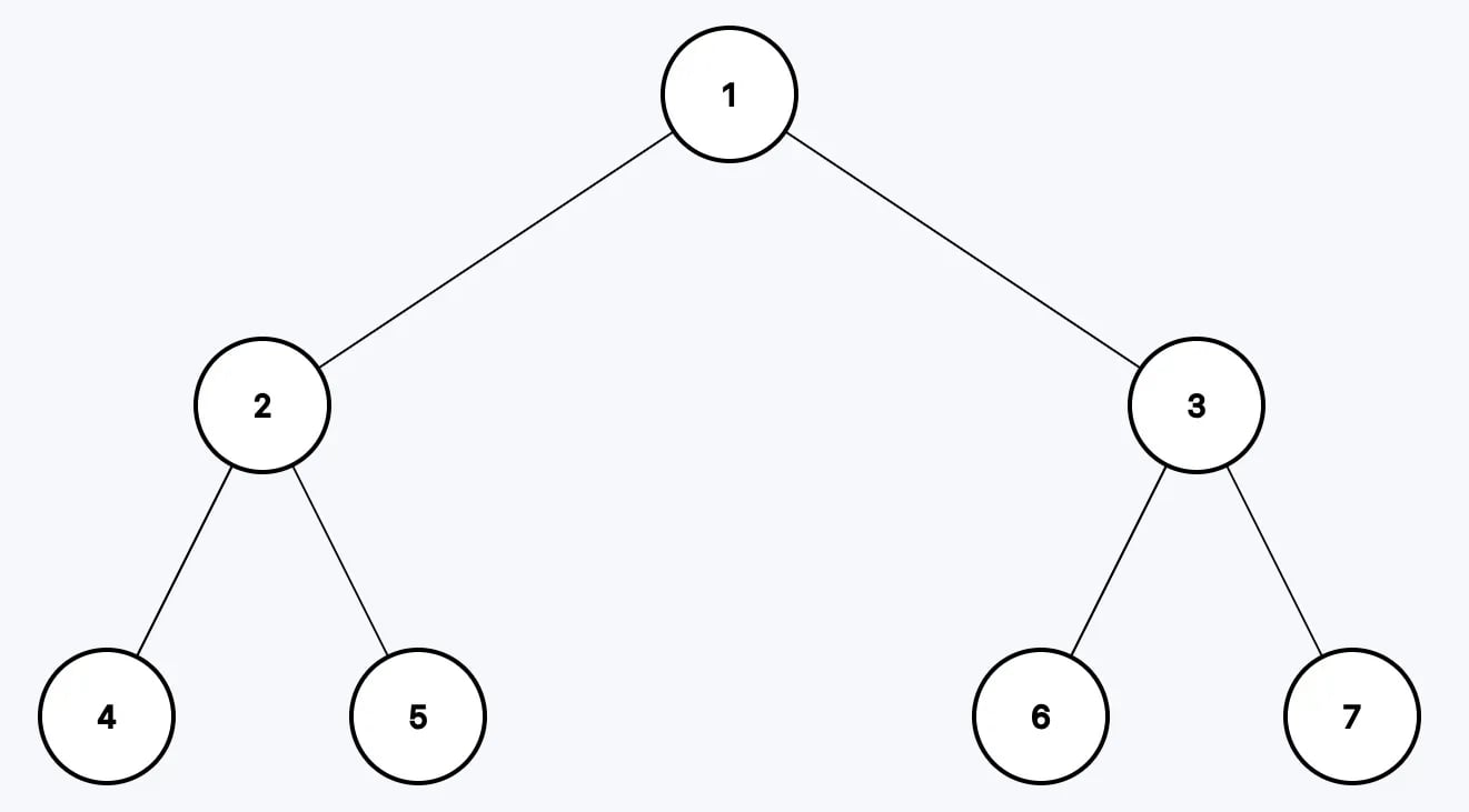
Example 1

Input: root = [1,2,3,4,5,6,7]
Output: [4,2,5,1,6,3,7]
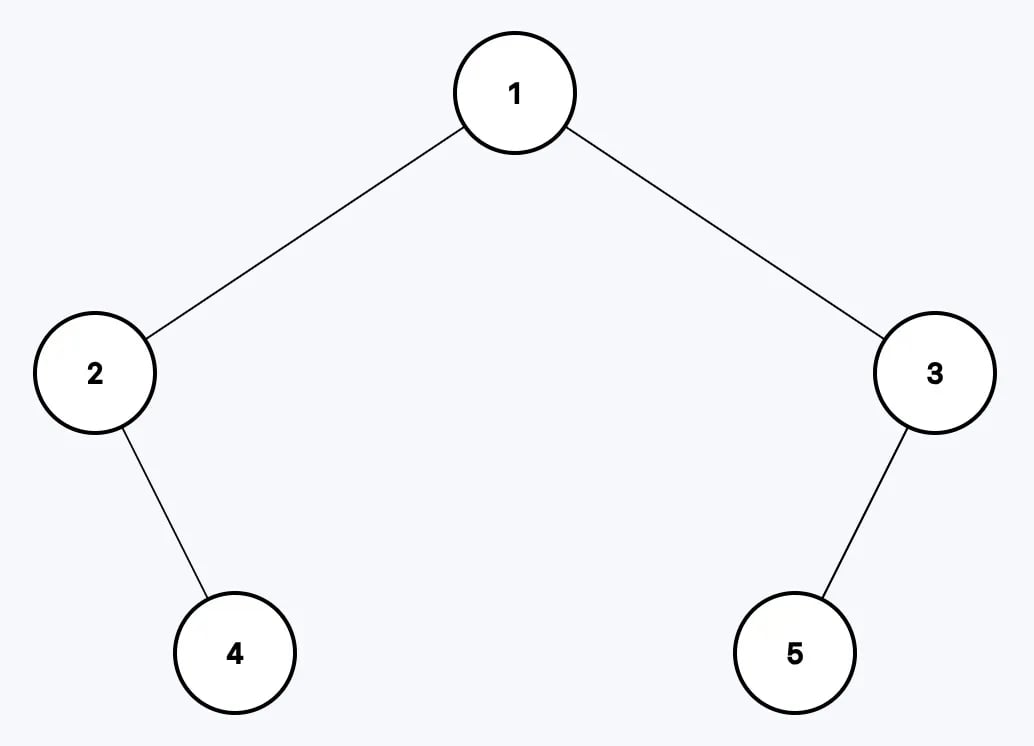
Example 2

Input: root = [1,2,3,null,4,5,null]
Output: [2,4,1,5,3]
Example 3
Input: root = []
Output: []
🔑 Key Insights & Approach
Core Observation: Inorder traversal visits nodes in a specific order: Left subtree → Root → Right subtree. This produces values in sorted order for a Binary Search Tree (BST).
Why Inorder Traversal?
- Left-Root-Right: Process left child, then current node, then right child
- Sorted output for BST: Values appear in ascending order
- Two main approaches: Recursive (natural) vs Iterative (uses explicit stack)
The Mental Model: Think of reading a book: you first read the left pages (left subtree), then the spine/center (root), then the right pages (right subtree). This naturally gives you the "inorder" reading.
Recursive Approach:
- Recursively traverse left subtree
- Visit current node (add to result)
- Recursively traverse right subtree
Iterative Approach (Using Stack):
- Go as far left as possible, pushing nodes onto stack
- When can't go left anymore, pop from stack and visit node
- Move to right child and repeat
Why Two Approaches?
- Recursive: Clean and intuitive, matches the definition directly
- Time:
O(n), Space:O(h)where h is tree height (call stack)
- Time:
- Iterative: More explicit, avoids recursion overhead
- Time:
O(n), Space:O(h)(explicit stack instead of call stack)
- Time:
Pattern Recognition: This is the "Tree Traversal" pattern. Inorder is one of three DFS traversals (Preorder: Root-Left-Right, Inorder: Left-Root-Right, Postorder: Left-Right-Root).
🐍 Solution: Python
Approach 1: Recursive
Time Complexity: O(n) | Space Complexity: O(h) where h is tree height
# Definition for a binary tree node.
# class TreeNode:
# def __init__(self, val=0, left=None, right=None):
# self.val = val
# self.left = left
# self.right = right
def inorderTraversal(root: Optional[TreeNode]) -> List[int]:
result = []
def inorder(node):
if not node:
return
# Left -> Root -> Right
inorder(node.left) # Traverse left subtree
result.append(node.val) # Visit root
inorder(node.right) # Traverse right subtree
inorder(root)
return result
Approach 2: Iterative with Stack
Time Complexity: O(n) | Space Complexity: O(h)
def inorderTraversal(root: Optional[TreeNode]) -> List[int]:
result = []
stack = []
current = root
# Continue while there are nodes to process
while current or stack:
# Go as far left as possible
while current:
stack.append(current)
current = current.left
# Process node (no more left children)
current = stack.pop()
result.append(current.val)
# Move to right subtree
current = current.right
return result
Approach 3: Morris Traversal (Advanced)
Time Complexity: O(n) | Space Complexity: O(1) - No stack or recursion!
def inorderTraversal(root: Optional[TreeNode]) -> List[int]:
result = []
current = root
while current:
if not current.left:
# No left child, visit and go right
result.append(current.val)
current = current.right
else:
# Find inorder predecessor (rightmost node in left subtree)
predecessor = current.left
while predecessor.right and predecessor.right != current:
predecessor = predecessor.right
if not predecessor.right:
# Create thread to current node
predecessor.right = current
current = current.left
else:
# Thread already exists, remove it
predecessor.right = None
result.append(current.val)
current = current.right
return result
🔵 Solution: Golang
Approach 1: Recursive
Time Complexity: O(n) | Space Complexity: O(h)
/**
* Definition for a binary tree node.
* type TreeNode struct {
* Val int
* Left *TreeNode
* Right *TreeNode
* }
*/
func inorderTraversal(root *TreeNode) []int {
result := []int{}
var inorder func(*TreeNode)
inorder = func(node *TreeNode) {
if node == nil {
return
}
// Left -> Root -> Right
inorder(node.Left)
result = append(result, node.Val)
inorder(node.Right)
}
inorder(root)
return result
}
Approach 2: Iterative with Stack
Time Complexity: O(n) | Space Complexity: O(h)
func inorderTraversal(root *TreeNode) []int {
result := []int{}
stack := []*TreeNode{}
current := root
for current != nil || len(stack) > 0 {
// Go as far left as possible
for current != nil {
stack = append(stack, current)
current = current.Left
}
// Process node
current = stack[len(stack)-1]
stack = stack[:len(stack)-1]
result = append(result, current.Val)
// Move to right subtree
current = current.Right
}
return result
}
Approach 3: Morris Traversal
Time Complexity: O(n) | Space Complexity: O(1)
func inorderTraversal(root *TreeNode) []int {
result := []int{}
current := root
for current != nil {
if current.Left == nil {
// No left child, visit and go right
result = append(result, current.Val)
current = current.Right
} else {
// Find inorder predecessor
predecessor := current.Left
for predecessor.Right != nil && predecessor.Right != current {
predecessor = predecessor.Right
}
if predecessor.Right == nil {
// Create thread
predecessor.Right = current
current = current.Left
} else {
// Remove thread
predecessor.Right = nil
result = append(result, current.Val)
current = current.Right
}
}
}
return result
}